


Формат
входных данных.
Ввод:
начало и конец интервала, шаг и точность
Вывод:
таблица, каждая строка которой есть комбинация из четырех чисел – значение
аргумента, значение функции, количество просуммированных членов ряда и расчет
функции стандартными средствами с++
Пример входных данных:
-10 -5 1 0.0001
Пример выходных данных:
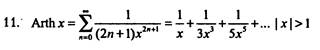
-10 -0.1003 3
-9 -0.1116 3
-8 -0.1257 3
-7 -0.1438 3
-6 -0.1682 3
-5 -0.2027 3