


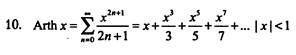
Формат
входных данных.
Ввод:
начало и конец интервала, шаг и точность
Вывод:
таблица, каждая строка которой есть комбинация из четырех чисел – значение
аргумента, значение функции, количество просуммированных членов ряда и расчет
функции стандартными средствами с++
Пример входных данных:
0 0.9 0.1 0.0001
Пример выходных данных:
0.0 0.0000 1 0.0000
0.1 0.1003 3 0.1003
0.2 0.2027 3 0.2027
0.3 0.3095 4 0.3095
0.4 0.4236 5 0.4236
0.5 0.5493 6 0.5493
0.6 0.6931 8 0.6931
0.7 0.8673 10 0.8673
0.8 1.0985 14 1.0986
0.9 1.4719 26 1.4722