АВТ
Язык:

Дистанционный практикум по программированию

Задачи On-line статус ЧаВо Турниры
Для авторов:
 
Здравствуйте, Гость! Войдите с паролем или зарегистрируйтесь.

1288. Семинар 7. Функции. Задача 1. Вариант 14

Ограничение времени: 1 секунды
Ограничение памяти:65536КБ
Баллы:1
Статистика Послать на проверку Задачу добавил Administrator

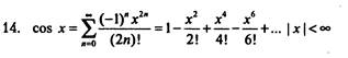
Описание: F:\informatika\kyrs 2\Pavlovskaia\sem_07_01 (sem_01_01 sem_02_02)\var_14\index.files\image001.jpg

Формат входных данных.

Ввод: начало и конец интервала, шаг и точность

Вывод: таблица, каждая строка которой есть комбинация из четырех чисел – значение аргумента, значение функции, количество просуммированных членов ряда и расчет функции стандартными средствами с++

Пример входных данных:

1.5 2.4 0.1 0.0001

Пример выходных данных:

1.5 0.0707 5 0.0707

1.6 -0.0292 5 -0.0292

1.7 -0.1288 5 -0.1288

1.8 -0.2272 5 -0.2272

1.9 -0.3233 6 -0.3233

2.0 -0.4161 6 -0.4161

2.1 -0.5048 6 -0.5048

2.2 -0.5885 6 -0.5885

2.3 -0.6663 6 -0.6663

2.4 -0.7374 6 -0.7374


Статистика Послать на проверку Автор/источник:
Учебные курсы / Языки программирования / Семинар 7. Функции.Задача 1 /
1287. 013 - Семинар 7. Функции. Задача 1. Вариант 13 1288. 1289. 015 - Семинар 7. Функции. Задача 1. Вариант 15 1290. 016 - Семинар 7. Функции. Задача 1. Вариант 16 1291. 017 - Семинар 7. Функции. Задача 1. Вариант 17
 
время генерации 0.046 сек.
© Copyright ВоГТУ, АВТ, Носов Д.А.