


Формат
входных данных.
Ввод:
начало и конец интервала, шаг и точность
Вывод:
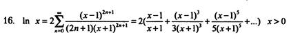
таблица, каждая строка которой есть комбинация из четырех чисел – значение
аргумента, значение функции, количество просуммированных членов ряда и расчет
функции стандартными средствами с++
Пример входных данных:
1.5
2.5 0.1 0.0001
Пример
выходных данных:
1.5 0.4055 3 0.4055
1.6 0.4700 4 0.4700
1.7 0.5306 4 0.5306
1.8 0.5878 4 0.5878
1.9 0.6418 4 0.6419
2.0 0.6931 4 0.6931
2.1 0.7419 5 0.7419
2.2 0.7885 5 0.7885
2.3 0.8329 5 0.8329
2.4 0.8755 5 0.8755
2.5 0.9163 5 0.9163