АВТ
Язык:

Дистанционный практикум по программированию

Задачи On-line статус ЧаВо Турниры
Для авторов:
 
Здравствуйте, Гость! Войдите с паролем или зарегистрируйтесь.

1287. Семинар 7. Функции. Задача 1. Вариант 13

Ограничение времени: 1 секунды
Ограничение памяти:65536КБ
Баллы:1
Статистика Послать на проверку Задачу добавил Administrator

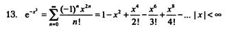
Формат входных данных.

Ввод: начало и конец интервала, шаг и точность

Вывод: таблица, каждая строка которой есть комбинация из четырех чисел – значение аргумента, значение функции, количество просуммированных членов ряда и расчет функции стандартными средствами с++

Пример входных данных:

-1 1 0.5 0.0001

Пример выходных данных:

-1.0 0.3679 9 0.3679

-0.5 0.7788 6 0.7788

0.0 1.0000 2 1.0000

0.5 0.7788 6 0.7788

1.0 0.3679 9 0.3679


Статистика Послать на проверку Автор/источник:
Учебные курсы / Языки программирования / Семинар 7. Функции.Задача 1 /
1286. 012 - Семинар 7. Функции. Задача 1. Вариант 12 1287. 1288. 014 - Семинар 7. Функции. Задача 1. Вариант 14 1289. 015 - Семинар 7. Функции. Задача 1. Вариант 15 1290. 016 - Семинар 7. Функции. Задача 1. Вариант 16
 
время генерации 0.109 сек.
© Copyright ВоГТУ, АВТ, Носов Д.А.