АВТ
Язык:

Дистанционный практикум по программированию

Задачи On-line статус ЧаВо Турниры
Для авторов:
 
Здравствуйте, Гость! Войдите с паролем или зарегистрируйтесь.

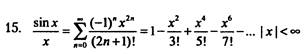
1289. Семинар 7. Функции. Задача 1. Вариант 15

Ограничение времени: 1 секунды
Ограничение памяти:65536КБ
Баллы:1
Статистика Послать на проверку Задачу добавил Administrator

Формат входных данных.

Ввод: начало и конец интервала, шаг и точность

Вывод: таблица, каждая строка которой есть комбинация из четырех чисел – значение аргумента, значение функции, количество просуммированных членов ряда и расчет функции стандартными средствами с++

Пример входных данных:

1.5 2.5 0.1 0.0001

Пример выходных данных:

1.5 0.6650 11 0.6650

1.6 0.6247 13 0.6247

1.7 0.5833 13 0.5833

1.8 0.5410 13 0.5410

1.9 0.4981 13 0.4981

2.0 0.4546 13 0.4546

2.1 0.4111 13 0.4111

2.2 0.3675 13 0.3675

2.3 0.3242 15 0.3242

2.4 0.2815 15 0.2814

2.5 0.2394 15 0.2394


Статистика Послать на проверку Автор/источник:
Учебные курсы / Языки программирования / Семинар 7. Функции.Задача 1 /
1288. 014 - Семинар 7. Функции. Задача 1. Вариант 14 1289. 1290. 016 - Семинар 7. Функции. Задача 1. Вариант 16 1291. 017 - Семинар 7. Функции. Задача 1. Вариант 17 1292. 018 - Семинар 7. Функции. Задача 1. Вариант 18
 
время генерации 0.062 сек.
© Copyright ВоГТУ, АВТ, Носов Д.А.