

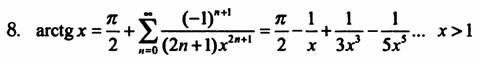
Формат входных данных.
Ввод: начало и конец интервала, шаг и точность
Вывод: таблица, каждая строка которой есть
комбинация из четырех чисел – значение аргумента, значение функции, количество
просуммированных членов ряда и расчет функции стандартными средствами с++
Пример входных данных:
1.5
2.5 0.1 0.0001
Пример выходных данных:
1.5
0.9828 9 0.9828
1.6 1.0122 8
1.0122
1.7 1.0391 7
1.0391
1.8 1.0637 7
1.0637
1.9 1.0863 6
1.0863
2.0 1.1072 6
1.1071
2.1 1.1264 6
1.1264
2.2 1.1442 5
1.1442
2.3 1.1607 5
1.1607
2.4 1.1760 5
1.1760
2.5 1.1903 5
1.1903