


Формат входных данных.
Ввод: начало и конец
интервала, шаг и точность
Вывод:
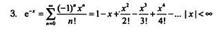
таблица, каждая строка которой есть комбинация из четырех чисел – значение
аргумента, значение функции, количество просуммированных членов ряда и расчет
функции стандартными средствами с++
Пример входных данных:
1.5 2.5 0.1 0.0001
Пример выходных данных:
1.5 0.2231 10 0.2231
1.6 0.2019 10 0.2019
1.7 0.1827 10 0.1827
1.8 0.1653 10 0.1653
1.9 0.1496 11 0.1496
2.0 0.1353 11 0.1353
2.1 0.1224 11 0.1225
2.2 0.1108 12 0.1108
2.3 0.1003 12 0.1003
2.4 0.0907 12 0.0907
2.5 0.0821 13 0.0821