


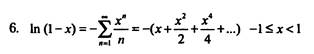
Формат
входных данных.
Ввод:
начало и конец интервала, шаг и точность
Вывод:
таблица, каждая строка которой есть комбинация из четырех чисел – значение
аргумента, значение функции, количество просуммированных членов ряда и расчет
функции стандартными средствами с++
Пример входных данных:
0 0.9 0.1 0.0001
Пример выходных данных:
0.0 0.0000 1 0.0000
0.1 -0.1054 4 -0.1054
0.2 -0.2231 5 -0.2231
0.3 -0.3567 7 -0.3567
0.4 -0.5108 8 -0.5108
0.5 -0.6931 10 -0.6931
0.6 -0.9162 13 -0.9163
0.7 -1.2038 18 -1.2040
0.8 -1.6091 27 -1.6094
0.9 -2.3019 51 -2.3026