АВТ
Язык:

Дистанционный практикум по программированию

Задачи On-line статус ЧаВо Турниры
Для авторов:
 
Здравствуйте, Гость! Войдите с паролем или зарегистрируйтесь.

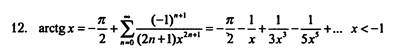
1286. Семинар 7. Функции. Задача 1. Вариант 12

Ограничение времени: 1 секунды
Ограничение памяти:65536КБ
Баллы:1
Статистика Послать на проверку Задачу добавил Administrator

Формат входных данных.

Ввод: начало и конец интервала, шаг и точность

Вывод: таблица, каждая строка которой есть комбинация из четырех чисел – значение аргумента, значение функции, количество просуммированных членов ряда и расчет функции стандартными средствами с++

Пример входных данных:

-2.5 -1.5 0.1 0.0001

Пример выходных данных:

-2.5 -1.1903 5 -1.1903

-2.4 -1.1760 5 -1.1760

-2.3 -1.1607 5 -1.1607

-2.2 -1.1442 5 -1.1442

-2.1 -1.1264 6 -1.1264

-2.0 -1.1072 6 -1.1071

-1.9 -1.0863 6 -1.0863

-1.8 -1.0637 7 -1.0637

-1.7 -1.0391 7 -1.0391

-1.6 -1.0122 8 -1.0122

-1.5 -0.9828 9 -0.9828


Статистика Послать на проверку Автор/источник:
Учебные курсы / Языки программирования / Семинар 7. Функции.Задача 1 /
1285. 011 - Семинар 7. Функции. Задача 1. Вариант 11 1286. 1287. 013 - Семинар 7. Функции. Задача 1. Вариант 13 1288. 014 - Семинар 7. Функции. Задача 1. Вариант 14 1289. 015 - Семинар 7. Функции. Задача 1. Вариант 15
 
время генерации 0.047 сек.
© Copyright ВоГТУ, АВТ, Носов Д.А.