


Формат
входных данных.
Ввод:
начало и конец интервала, шаг и точность
Вывод:
таблица, каждая строка которой есть комбинация из четырех чисел – значение
аргумента, значение функции, количество просуммированных членов ряда и расчет
функции стандартными средствами с++
Пример входных данных:
-2.5
-1.5 0.1 0.0001
Пример
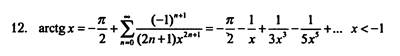
выходных данных:
-2.5 -1.1903 5 -1.1903
-2.4 -1.1760 5 -1.1760
-2.3 -1.1607 5 -1.1607
-2.2 -1.1442 5 -1.1442
-2.1 -1.1264 6 -1.1264
-2.0 -1.1072 6 -1.1071
-1.9 -1.0863 6 -1.0863
-1.8 -1.0637 7 -1.0637
-1.7 -1.0391 7 -1.0391
-1.6 -1.0122 8 -1.0122
-1.5 -0.9828 9 -0.9828