


Формат
входных данных.
Ввод:
начало и конец интервала, шаг и точность
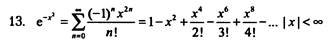
Вывод:
таблица, каждая строка которой есть комбинация из четырех чисел – значение
аргумента, значение функции, количество просуммированных членов ряда и расчет
функции стандартными средствами с++
Пример входных данных:
-1
1 0.5 0.0001
Пример
выходных данных:
-1.0 0.3679 9 0.3679
-0.5 0.7788 6 0.7788
0.0 1.0000 2 1.0000
0.5 0.7788 6 0.7788
1.0 0.3679 9 0.3679