


Формат
входных данных.
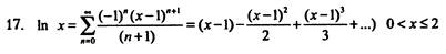
Ввод:
начало и конец интервала, шаг и точность
Вывод:
таблица, каждая строка которой есть комбинация из четырех чисел – значение
аргумента, значение функции, количество просуммированных членов ряда и расчет
функции стандартными средствами с++
Пример входных данных:
1
1.5 0.1 0.0001
Пример
выходных данных:
1.0
0.0000 1 0.0000
1.1
0.0953 4 0.0953
1.2
0.1823 5 0.1823
1.3
0.2624 7 0.2624
1.4
0.3365 8 0.3365
1.5
0.4054 10 0.4055